Просьба прислать запрос с техническими деталями и реквизитами вашей производственной компании на электропочту
Просьба прислать запрос с техническими деталями и реквизитами вашей производственной компании на электропочту
Условия сотрудничества: конечный производитель-резидент России, письменный немассовый запрос с шильдом или иной тех.информацией с указанием применения (образец), предоставление ИНН. Адресатам бесплатных почтовых сервисов yandex/mail/rambler и тп необходима верификация электропочты в качестве корпоративной.
Описание
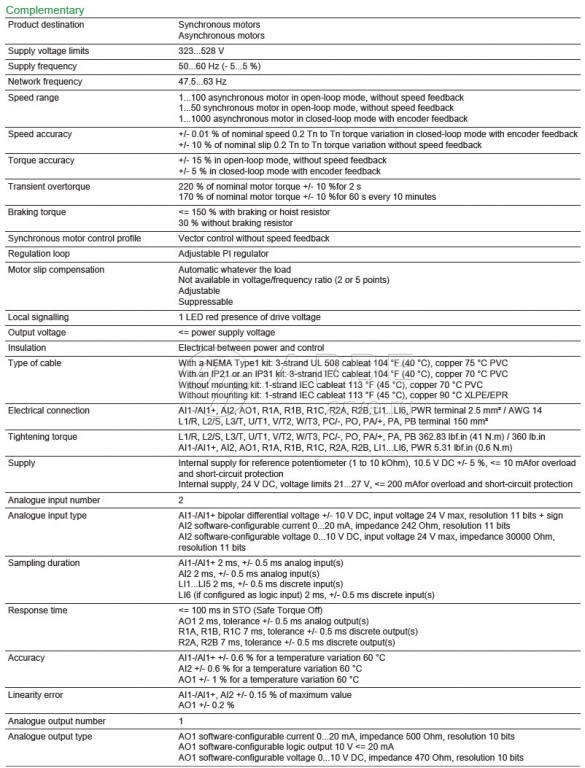
Характеристики
Инвертор ATV71HD45N4Z VFD 45KW 60HP 480V Schneider - купить в компании АРВЕ. Чтобы узнать наличие, сроки поставки, условия доставки, скачать прайс-лист, каталог или инструкцию, получить консультацию по всем возникающим вопросам, обращайтесь к нашим менеджерам удобным вам способом.